Annals of Mathematics and Physics
1Academy of Physical and Mathematical Sciences, Tbilisi, Georgia
2BS (Bachelor of Science) in Economics with Mathematical Concentration, Drexel University, Philadelphia, USA
Cite this as
Gavasheli L, Gavasheli A. Analytical Study of Torsional and Bending Oscillations of Nonlinear Mechanical Systems. Ann Math Phys. 2025;8(5):209-211. Available from: 10.17352/amp.000165
Copyright License
© 2025 Gavasheli L, et al. This is an open-access article distributed under the terms of the Creative Commons Attribution License, which permits unrestricted use, distribution, and reproduction in any medium, provided the original author and source are credited.The study analyzes the torsional and bending oscillations of nonlinear mechanical systems to identify working parameters that minimize amplitude and improve stability under dynamic loading. Such systems, common in heavy machinery, transportation, and construction, often experience combined torsional and bending stresses that lead to deformation and potential failure. By deriving generalized differential equations and solving them under specific boundary and initial conditions, the study determines frequency characteristics that influence system behavior. The results show that reducing the external force amplitude decreases the risk of low-frequency resonance and improves system stability. This analytical approach provides a foundation for designing safer and more efficient mechanical systems with improved vibration resistance.
In practice, such non-linear mechanical systems are often encountered, which experience intense dynamic loads, both in vertical and horizontal directions. These types of mechanical systems include heavy machinery that is widely used in mining enterprises, namely drilling rigs, excavators, and trucks. In addition, constant monotonic vertical and horizontal loads are affected by railway tracks and wagons moving on them, various parts of ships, aircraft hulls, and especially their wings, heavy construction cranes, and other similar mechanical systems. The intense dynamic loads of the mentioned type over time cause certain elements of the above-mentioned systems to twist and bend accordingly, which often lead to serious accidents and, accordingly, the failure of the entire system, significant economic and social losses. Therefore, the analytical study of torsional and bending oscillations of nonlinear mechanical systems is relevant in order to select their working modes and parameters, which ensure the reduction of the amplitudes of torsional and bending oscillations of key places in the relevant frequency ranges [1-4]. For drawing up the generalized differential equations of torsional and bending oscillations of nonlinear mechanical systems, the plane of horizontal symmetry is taken as the plane of xy horizontal symmetry, and the plane of vertical symmetry is the plane of xz. Accordingly, bending of the system occurs when the external vertical dynamic load deviates from the oz axis, and the horizontal load from the ox axis. A general schematic picture of the origin of torsional and bending oscillations of a nonlinear system is given in Figure 1, [5]. The differential equation of the corresponding bending moment will have the form.
In Figure 1 and equation (1) M - twisting moment, which arises as a result of dynamic load distributed along the ox axis of a certain intensity; E – Young's modulus; 𝐽0- the moment of geometric inertia of the cross-section; ℓ - frame length; h - frame height; T(х) - bending moment; α - deflection angle; P(t) - longitudinal force acting on the system. Integrating equation (1), we get the equation of the wave propagated over the unit length 𝑙1 of the frame.
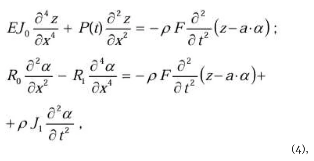
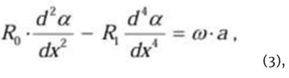
where ρ - the density of the frame material; F - cross-sectional area [2]. We consider the case when the frame is simultaneously affected by both torsional and bending vibrations, which are generated in the direction of non-uniform ox and oz axes. In the above case, the calculation attitude of the bending moment will take the form
where – R0 Bending stiffness; 𝑅1- the stiffness is limited by bending. By differentiating equation (3), we get
where is the distance between the center of gravity of the cross-section of the frame and the center of the corresponding displacement, 𝜔, is the frequency of oscillations. Considering equations (1) and (4), the differential equations of joint torsional and bending oscillations of the system will take the form
Where 𝐽1 is - central polar moment of the cross-section of the system. The external force in the considered case can be presented in the following form 𝑃(𝑡) = 𝑃0𝑠𝑖𝑛𝜔𝑡; 𝑃0 - the amplitude of the force; 𝜔 - the frequency of the disturbing force; 𝑃0 = 𝑃𝑚𝑎𝑥, when 𝜔 = 𝜋𝑛; n - the number of free forms of forced oscillations, when the system is affected by one main type of forced oscillations, then we can find the solution of equation (4) according to the following conditions
Where, 𝑎1 and 𝑧1 - normal functions; p is - angular frequency of the main forms of forced oscillations; (4) the initial and boundary conditions of the system, in our case, are as follows
When x = 0 or x = ℓ, taking into account equations (3) and (4), we get the following equations from the system (4)
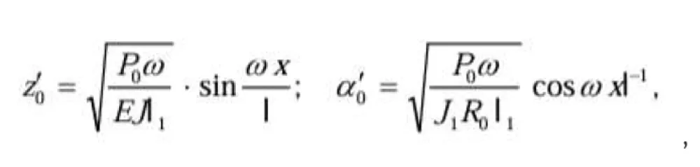
Solutions that satisfy the initial and boundary conditions will have the form:
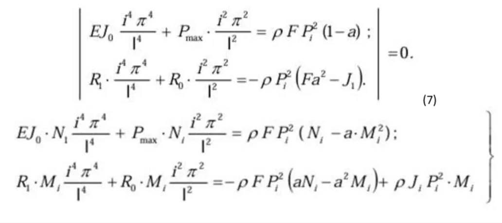
where 𝑁𝑖 and 𝑀𝑖 - the amplitudes of the corresponding normal functions. If we enter FA equations (6) into the system (5), we get the following system of equations
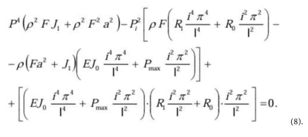
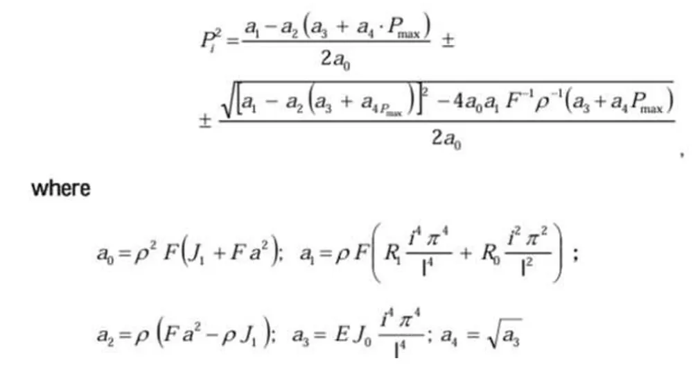
Where - the angular frequency of oscillations of the main forms [3]. In our case, the system will have non-zero solutions for and only if the equality holds (the determinant is equal to zero). By simple transformations of (11), we get the frequency equation.
From the resulting equation, the squared values of the angular frequencies of the components of the forced oscillations of the main forms can be determined.
In our case, based on the analysis of the received equation (8), we can determine the following: by reducing the maximum value of the external dynamic force acting on the system, the square values of the angular frequencies of the elements constituting the main forms of torsional and bending forced oscillations of the system decrease. This, in turn, leads us to the conclusion that the system will automatically exit the most dangerous low-frequency resonance modes in a short period of time, when a = 0, i.e., the center of gravity of the frame section is not moved, then. And , which are the angular frequencies of the main forms of torsional and bending oscillations, are not dependent on each other, and therefore torsional and bending processes will not affect each other, and when 𝑎 ≠ 0, that is, will occur from the main plane of the system displacement of the center of gravity of the cross section, then it is not excluded that the frequencies overlap and, and they affect each other as well as the twisting and bending processes of the system [6], and if their values move towards high frequencies, then the corresponding amplitudes 𝑁1 and 𝑀1 will be of the same sign (minus or plus), which means that Torsional and bending vibrations will develop in the same directions. As a result of the mentioned fact, the total dynamic tension of the system decreases and its stability increases [7]. Depending on the initial and boundary conditions, the initial velocities at the point 𝑥1 will be equal.
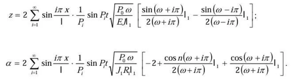
Which in turn means that the part of the frame whose length is 1 equal to will receive the main load at the beginning. Taking into account the above, we can finally determine the solutions of z and α clearly:
By integrating the obtained equations and simple transformations, we get the final solutions of system (4):
As a result of the analysis of the obtained solutions, we can determine the following: the amplitudes of the torsional and bending oscillations of the system depend on both the amplitude of the external forced load and its frequency characteristics, therefore, in addition to ensuring the amplitudes in one direction, to regulate its stability, it is necessary to increase their damping capacity over the length 𝑙1 area, with the inclusion of additional elements, which will lead to a decrease in the values of the obtained amplitudes (z, α) and an increase in the frequency ranges [4], that is, the stability of the entire system.

PTZ: We're glad you're here. Please click "create a new query" if you are a new visitor to our website and need further information from us.
If you are already a member of our network and need to keep track of any developments regarding a question you have already submitted, click "take me to my Query."